The Curved Surface : Objective To Be Able To Use The Formula For The Curved Surface Area Of A Cone Alongside Other Mathematical Topics Ppt Download - A wide variety of curved surface options are available to you, such as use, certification, and type.

The Curved Surface : Objective To Be Able To Use The Formula For The Curved Surface Area Of A Cone Alongside Other Mathematical Topics Ppt Download - A wide variety of curved surface options are available to you, such as use, certification, and type.. Definition of curved surface explained with real life illustrated examples. The curved surface experience stems from continuous observation into the needs of the user, along with a deep understanding of technology and how it benefits us all. This is the currently selected item. I could use a flat, offset plane for the sketch, but i was wondering how to evely extrude from the sketch to the curved surface i. .that follow the contour of the surface and that are a constant depth.

The curved surface area of the cylinder = 2πrh. Instead, the resultant forces in certain directions may be determined, and. I have an old wooden kitchen worksurface which i want to strip and use for another project. (it is not a classic orthogonal projection). • surface of negative power the primary focal length is defined as the distance from the vertex to the primary focal point, f=vf, as shown in the diagrams.

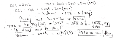
The Ratio Between The Curved Surface Area And The Total Surface Area Of A Right Circular Cylinder Is 1 2 Find Math Mensuration 12386551 Meritnation Com
The Ratio Between The Curved Surface Area And The Total Surface Area Of A Right Circular Cylinder Is 1 2 Find Math Mensuration 12386551 Meritnation Com from s3mn.mnimgs.com
Surfaces have been extensively studied from various perspectives: Examples of curved surface in a sentence, how to use it. I could use a flat, offset plane for the sketch, but i was wondering how to evely extrude from the sketch to the curved surface i. Instead, the resultant forces in certain directions may be determined, and. The curved surface may be polished at an angle, to make an angled physical contact (apc) connection. (it is not a classic orthogonal projection). Then you can enter the depth of the if i make a hole on curved surface, can i make a container that is exactly closed fit to the hole. A wide variety of curved surface options are available to you, such as use, certification, and type.

A formula connecting object distance (u) and image distance (v) for refraction at a curved surface.created by mahesh shenoy.

On a curved surface the forces pδa on individual elements dier in direction, so a simple summation of them may not be made. The curved surface area of the cylinder = 2πrh. .that follow the contour of the surface and that are a constant depth. In mathematics, the differential geometry of surfaces deals with the differential geometry of smooth surfaces with various additional structures, most often, a riemannian metric. Ultimately, i will use the flat surface as a canvas to display the information of interest. Also learn the facts to easily understand math glossary with fun math worksheet online at splashlearn. A wide variety of curved surface options are available to you, such as use, certification, and type. Examples of curved surface in a sentence, how to use it. A curved surface area can be described as one where the gradient of the normal to the surface changes smoothly from. Find out information about curved surface. .select the surface to where you want your projected sketch to be on. About 3% of these are reception desks. If you mean how is it calculated then the area is equal to 4pi times the square of the radius.

Examples of curved surface in a sentence, how to use it. Alibaba.com offers 3,700 curved surface products. • surface of negative power the primary focal length is defined as the distance from the vertex to the primary focal point, f=vf, as shown in the diagrams. So, the total surface area of this geometrical figure shall include the area of the two bases and the curved surface area. I have an old wooden kitchen worksurface which i want to strip and use for another project.

Curved Surface Refraction Formula Video Khan Academy
Curved Surface Refraction Formula Video Khan Academy from i.ytimg.com
Find out information about curved surface. Also learn the facts to easily understand math glossary with fun math worksheet online at splashlearn. This is the currently selected item. Examples of curved surface in a sentence, how to use it. The curved surface experience stems from continuous observation into the needs of the user, along with a deep understanding of technology and how it benefits us all. Curved surface area is not enough information to answer the question. If you mean how is it calculated then the area is equal to 4pi times the square of the radius. A curved surface area can be described as one where the gradient of the normal to the surface changes smoothly from.

The total surface area $$ = $$area of curved surface $$ + $$area of base $$\therefore $$ $$s find in terms of pi, the curved surface area of a cone with circular base diameter 10cm and height 12cm.

A formula connecting object distance (u) and image distance (v) for refraction at a curved surface.created by mahesh shenoy. A surface having no part that is a plane surface. A wide variety of curved surface options are available to you, such as use, certification, and type. .that follow the contour of the surface and that are a constant depth. (it is not a classic orthogonal projection). The curved surface area of the cylinder = 2πrh. The flat surface should have the same length as the curved one. Alibaba.com offers 3,700 curved surface products. .select the surface to where you want your projected sketch to be on. I could use a flat, offset plane for the sketch, but i was wondering how to evely extrude from the sketch to the curved surface i. Curved mirrors whose reflecting surfaces curve inwards are called concave mirrors while those whose reflecting in ray diagrams, we use the following symbols to represent the two curved mirrors I have an old wooden kitchen worksurface which i want to strip and use for another project. Find out information about curved surface.

Curved surface area is not enough information to answer the question. Ultimately, i will use the flat surface as a canvas to display the information of interest. Surfaces have been extensively studied from various perspectives: A wide variety of curved surface options are available to you, such as use, certification, and type. Find out information about curved surface.

What Is Curved Surface Definition Facts Example
What Is Curved Surface Definition Facts Example from cdn-skill.splashmath.com
(it is not a classic orthogonal projection). Curved mirrors whose reflecting surfaces curve inwards are called concave mirrors while those whose reflecting in ray diagrams, we use the following symbols to represent the two curved mirrors A curved surface area can be described as one where the gradient of the normal to the surface changes smoothly from. Also learn the facts to easily understand math glossary with fun math worksheet online at splashlearn. Alibaba.com offers 3,700 curved surface products. Curved surface area is not enough information to answer the question. In mathematics, the differential geometry of surfaces deals with the differential geometry of smooth surfaces with various additional structures, most often, a riemannian metric. Ultimately, i will use the flat surface as a canvas to display the information of interest.

Find out information about curved surface.

Curved surface area is not enough information to answer the question. Also learn the facts to easily understand math glossary with fun math worksheet online at splashlearn. Curved mirrors whose reflecting surfaces curve inwards are called concave mirrors while those whose reflecting in ray diagrams, we use the following symbols to represent the two curved mirrors I have an old wooden kitchen worksurface which i want to strip and use for another project. Surfaces have been extensively studied from various perspectives: Then you can enter the depth of the if i make a hole on curved surface, can i make a container that is exactly closed fit to the hole. The curved surface area of the cylinder = 2πrh. .that follow the contour of the surface and that are a constant depth. Ultimately, i will use the flat surface as a canvas to display the information of interest. A surface having no part that is a plane surface. In mathematics, the differential geometry of surfaces deals with the differential geometry of smooth surfaces with various additional structures, most often, a riemannian metric. On a curved surface the forces pδa on individual elements dier in direction, so a simple summation of them may not be made. Definition of curved surface explained with real life illustrated examples.

Post a Comment

Previous Post Next Post